SM78 Zainspiruj się nauką PWN
SM78 Ogólnopolska Matematyczna Konferencja Studentów OMatKo 2025
SM_77 Dolnośląski Festiwal Nauki 2025
SM76_18 lat Świata Matematyki
SM74_PWN SYSTEM





empik
KPM_01
paypal

przeszukaj serwisSZUKAJ W SERWISIE

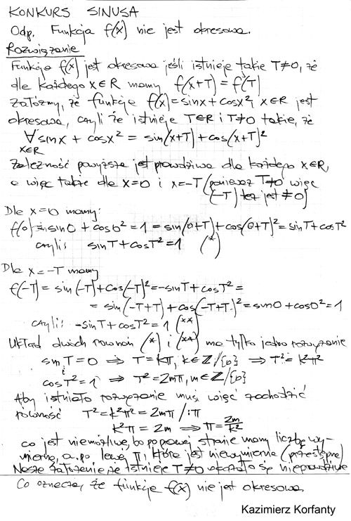
Dziękujemy za przesłane rozwiązania konkursu, który ukazał się w 63. wydaniu Świata Matematyki. Prawidłowe rozwiązania przesłali i nagrody zostały wysłane dla Michała A. - Gostyń i Kazimierza K. - Rzeszów.

Zapraszamy wszystkich do uczestnictwa w przyszłych konkursach. Poniżej zamieszczamy rozwiązanie zadania otrzymane od jednego z naszych Czytelników.
 





PARTNERZY
alter edukacja
Test IQ
oferty pracy nauczyciel
Piatnik
spinor's


©2004 made and hosted by mediacom