SM78 Zainspiruj się nauką PWN
SM78 Ogólnopolska Matematyczna Konferencja Studentów OMatKo 2025
SM_77 Dolnośląski Festiwal Nauki 2025
SM76_18 lat Świata Matematyki
SM74_PWN SYSTEM





empik
KPM_01
paypal

przeszukaj serwisSZUKAJ W SERWISIE

Zapraszamy do rozwiązania zadania „Konkurs na dowód” na stronie Świata Matematyki. Uczestnicy, którzy przyślą prawidłowe odpowiedzi otrzymają niesamowite nagrody. Termin nadsyłania rozwiązań do 15. października 2016 r.

Jako uzupełnienie artykułu o ułamkach ciągłych, który ukaże się w 37. numerze Świata Matematyki zamieszczamy rys historyczny kalendarza gregoriańskiego.

Zamieszczamy propozycję rozwiązań zadań matury rozszerzonej z matematyki.

Uwaga tegoroczni maturzyści!!! Zamieszczamy nasze propozycje rozwiązań zadań otwartych z tegorocznej matury - poziom podstawowy oraz wskazówki do rozwiązania zadań testowych.

    

Zapraszamy do rozwiązania zadania „Całkowity konkurs” na stronie Świata Matematyki. Uczestnicy, którzy przyślą prawidłowe odpowiedzi otrzymają niesamowite nagrody. Termin nadsyłania rozwiązań do 15. sierpnia 2016 r.

CIEKAWOSTKI MATEMATYCZNE


Złoto w matematyce.






Pięciokąt foremny, to figura matematyczna, posiadająca dużo ciekawych własności

Wrysujmy wszystkie przekątne w nasz pięciokąt

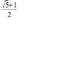
Warto zauważyć, że zachodzi równość a/b=b/c=fi; gdzie fi w przybliżeniu ma 1,6180339..;  fi często nazywamy złotą liczbą.

Dokładna wartość liczby fi to

Popatrzmy teraz na trójkąty AJI i ABJ.

Oba są równoramienne. Różni je to, że jeden jest ostrokątny, a drugi rozwartokątny.

Kąty wewnętrzne trójkąta ABJ wynoszą 36 stopni;  36 stopni;  108 stopni, a trójkąta AJI wynoszą 72 stopni;  72 stopni;   36 stopni.
Takie trójkąty często nazywa się w matematyce złotymi trójkątami.

Cechą charakterystyczną, każdego złotego trójkąta jest fakt, że zawsze da się podzielić na dwa trójkąty złote, z których jeden jest podobny do trójkąta ABJ, a drugi do trójkąta AJI.

Prostokąt, w którym stosunek długości boków jest równy złotej liczbie nazywamy złotym prostokątem

 

 

Każdy złoty prostokąt da się podzielić na kwadrat i prostokąt. Przyczym otrzymany prostokąt nadal jest złotym prostokątem.

Zapraszamy do przyjrzenia się najbardziej znanym wzorom matematycznym. Pewnie większość znich bardzo dobrze znasz.
Uwaga! Powyższy tekst został uzupełniony o nowe wzory.

Zamieszczamy propozycję rozwiązań zadań matury rozszerzonej z matematyki.

Uwaga tegoroczni maturzyści!!! Zamieszczamy nasze propozycje rozwiązań zadań otwartych z tegorocznej matury - poziom podstawowy oraz wskazówki do rozwiązania zadań testowych.

Hugo Dyonizy Steinhaus (ur. 14 stycznia 1887 w Jaśle, zm. 25 lutego 1972 we Wrocławiu) – polski matematyk żydowskiego pochodzenia, profesor Uniwersytetu Jana Kazimierza, przedstawiciel lwowskiej szkoły matematycznej; był także znany jako wielki aforysta. Oto kilka jego aforyzmów:

Za granicą mówią: "X to dobry matematyk; z pewnością Polak". U nas mówią: "Y to prawdziwy Polak; z pewnością słaby matematyk".

Po co ludzie uczą się matematyki? Żeby uczyć matematyki innych.

Łatwo z domu rzeczywistości zajść do lasu matematyki, ale nieliczni tylko umieją
wrócić.

Komputer to taki niesłychanie sprawny idiota.

Liczba e zwana często liczbą Eulera.

Jedną z najbardziej znanych liczb jest oczywiście liczba pi. Wiemy, że jest ona równa stosunkowi długości okręgu do długości średnicy tego okręgu. Występuje ona w prawie wszystkich obliczeniach związanych z łukami. Jest liczbą niewymierną, a nawet przestępną.
Drugą znaną liczbą niewymierną i przestępną jest liczba e.
W przybliżeniu e = 2,71828182...
Po raz pierwszy liczby e użył Leonard Euler w roku 1736 jako podstawy logarytmu, dlatego też liczbę e nazywamy często liczbą Eulera.
Istnieje kilka równoważnych definicji liczby e. Oto dwie z nich:

 

e=1+1/1!+1/2!+1/3!+1/4!+1/5!+....
Liczba e pojawia się najczęściej w rachunku różniczkowym i całkowym.

Czy wiesz, że jest tylko 11 różnych siatek sześcianu.

Oto one.

Czasami, przy wykonywaniu niektórych działań można się wspomóc ciekawymi własnościami tych działań.

Oto przykład

Świat Matematyki dla maturzystów - wykaz artykułów pomocnych w przygotowaniu do matury.

Rozwiązania zadań zamkniętych z matematyki rozszerzonej matury próbnej.

24 listopada w wielu szkołach średnich odbyła się próbna matura z matematyki. Redakcja czasopisma "Świat matematyki", po zapoznaniu się z zadaniami, postanowiła zamieścić propozycje rozwiązań zadań otwartych z matury rozszerzonej. Tematyka wielu z tych zadań bardzo pokrywa się z problematyką omawianą na łamach "Świata Matematyki". Szczególnie bardzo wiele na te tematy pisaliśmy w ostatnich numerach naszego czasopisma.

Konkurs "Karta z każdego roku" dobiegł końca. Jak zwykle zdobył swoich zwolenników, choć tym razem okazał się dość trudny dla naszych czytelników. Niemniej spłynęło do Redakcji sporo odpowiedzi, ale tylko 5 okazało się poprawne. Oto lista nagrodzonych: Antoni S. – Wrocław; Dominik F. – Bielany; Tomasz W. – Ruda Śląska; Tomasz C. – Jasielsk; Robert C. – Jasielsk. Kart odwróconych do góry po 2015 krokach będzie 44. Będą to karty z numerami: 1, 4, 9, 16, 25, 36, 49, 64, 81, 100, 121, 144, 169, 196, 225, 256, 289, 324, 361, 400, 441, 484, 529, 576, 625, 676, 729, 784, 841, 900, 961, 1024, 1089, 1156, 1225, 1296, 1369, 1444, 1521, 1600, 1681, 1764, 1849, 1936.Prezentujemy rozwiązanie Dominika Filipczuka.

Wstęga Möbiusa to zwykły pasek papieru, którego końce zostały sklejone, jednak jeden z końców, przed sklejeniem, został obrócony o 180°. To mogło zdarzyć się kiedyś przez nieuwagę lub być celowym sztubackim figlem. Faktem jest, że odkryto dzięki temu powierzchnię o niezwykłych matematycznych własnościach.
Ten szczególny topologiczny obiekt opisał po raz pierwszy w 1858 roku niemiecki matematyk i astronom August Ferdynand Möbius i stąd wstęga wzięła swoją nazwę. Takie wstęgi są popularnymi motywami zdobniczymi. Można je znaleźć np.: w logo firmy Renault oraz Global Investment Servicing, na belgijskich znaczkach pocztowych jako symbol Beneluxu, w matematycznym symbolu nieskończoności czy symbolu recyclingu.
Ciekawostki dotyczące wstęgi Möbiusa:

1. Jeśli chcemy pokolorować tylko jedną jej stronę, ... zakolorujemy ją całą. 
    To wszystko przez jej jednostronność!
2. Spróbuj przejechać po brzegu swojej wstęgi skuwką (zaczepem) od długopisu. 
    Jadąc po jednej krawędzi, po jakimś czasie zauważysz, że skuwka wędruje po 
    przeciwnej krawędzi (krawędź nie była zmieniana!). Z tego wynika, że wstęga 
    Möbiusa ma jedną stronę i jedną krawędź.
3. Spróbuj rozciąć wstęgę, na długości, w połowie szerokości i... okaże się, że 
    zamiast dwóch mniejszych wstęg mamy znowu jedną (tym razem wstęga ma już 
    dwie strony - przy pełnym przejściu, idąc wzdłuż wstęgi, nie zmieniamy jej strony).
4. Rozetnij następnie wstęgę uzyskaną przed chwilą, ale tak, by cięcie nie 
    przechodziło dokładnie przez środek szerokości i... po rozcięciu będą dwie wstęgi, 
    różnej szerokości, splecione ze sobą!
Kwadratom magicznym przypisywano moc magiczną. Miały one odstraszać złe duchy i przynosić szczęście w transakcjach handlowych. Dlatego też były częstym motywem różnego rodzaju amuletów i talizmanów szczęścia. Kwadratami magicznymi przyozdabiano wiele budowli nawet o charakterze sakralnym. Najsłynniejszym chyba kwadratem magicznym jest kwadrat widniejący na obrazie pędzla Dϋrera (lub miedziorycie) zatytułowanego Melancholia, zamieszczony na środkowym znaczku. Ciekawostką tego kwadratu magicznego jest fakt, że liczby umieszczone w dwóch środkowych polach dolnego wiersza stanowią datę powstania tego dzieła – obraz ten powstał w 1514 r.

Zapraszamy do poznania tajemnicy kwadratów magicznych w artykule "Magia matematyki" z 29. numeru Świata Matematyki.
 
Matematyka jest wszędzie, nawet jeśli nie zdajemy sobie z tego sprawy: pomaga rozwiązywać codzienne problemy, ułatwia prowadzenie interesów, odkrywa niedostatki demokracji, dostarcza amunicji w walce z chorobami, obnaża słabostki ludzkiej natury.  

 
Zapraszamy wszystkich do łamania głowy przy rozwiązywaniu zamieszczonych łamigłówek matematycznych na Nowy Rok! Teraz zamieszczamy rozwiązania łamigłówek matematycznych.

W międzynarodowym badaniu umiejętności i wiedzy 15-latków polscy gimnazjaliści po raz pierwszy znaleźli się w elitarnej grupie państw o najwyższych umiejętnościach matematycznych.

Zapraszamy na stronę Puzzle Leonida Mochalov

... i zajrzyjmy jeszcze do świata iluzji

W sprzedaży jest już 36 numer Świata Matematyki, a w nim artykuły: pogłębiające wiedzę matematyczną; propozycje gier logicznych; nowa porcja ciekawych zadań do rozwiązania i jak zawsze cieszący się wielkim zainteresowaniem konkurs.  Zapraszamy do nowego wydania Świata Matematyki.

Koniec roku przyniósł rozstrzygnięcie konkursu: „MATEMATYKA NIGDY NIE TRACI NA WARTOŚCI”. Jak zawsze, także i ten konkurs cieszył się ogromnym zainteresowaniem naszych czytelników. Z każdym nowym quizem otrzymujemy mnóstwo odpowiedzi, z czego prawidłowe nagradzamy, aż do wyczerpania zapasów nagród. Nagrody otrzymają: Mikołaj S. – Wrocław, Juliusz K. – Poznań, Stanisław G. – Warszawa, Beata L. – Rejowiec, Aleksandra O. – Adamów, Kacper Ż. – Węgorzewo, Ewa K. – Kraków, Jacek B. – Rumia, Justyna M. – Szubin, Marta B. – Gdynia, Dominik F. – Bielany, Sylwia K. - Warszawa oraz Łukasz K. - Dobrzeń Wielki, który jako jedyny zaproponował oryginalne rozwiązanie. Serdecznie gratulujemy wszystkim nagrodzonym a tym, którym nie udało się tym razem, życzymy powodzenia w naszych kolejnych konkursach. Dla zainteresowanych publikujemy przykładowe rozwiązania konkursu.

 Bryły platońskie

Wielościany foremne często nazywane bryłami platońskimi to bryły, których wszystkie ściany są przystającymi wielokątami foremnymi i w których z każdego wierzchołka wychodzi tyle samo krawędzi.
O wielościanach platońskich pisaliśmy w 31 numerze „Świata Matematyki” w artykule zatytułowanym „Wielościany Platona”.
Wszystkich wielościanów foremnych jest tylko 5. Oto one.
    

Poznaj stare łamigłówki matematyczne znane pod nazwą tangram. 

Naszą propozycją dla miłych gości jest zabawa z równaniami, nierównościami i funkcjami do wykorzystania ich dla sporządzania grafik.

Zobaczmy, jak radzili sobie z zapisem liczb Majowie w czasach gdy ludność w Europie nadal zmagała się z rzymskim systemem liczbowym, który miał klika poważnych wad: nie było tam żadnego zera, oraz, w przeciwieństwie do systemu Majów, liczby były całkowicie symboliczne, bez bezpośredniego połączenia z ilością reprezentowanych pozycji. Zapraszamy do artykułu "System liczbowy Majów".

Metody liczenia stosowane przez Japończyków i Hindusów zapoczątkowane setki lat temu.

Opowieść o Hipokratesie z Chios, matematykowi żyjącemu w latach 450-420 pne. Nie należy go mylić z Hipokratesem z Kos, uważanego za ojca medycyny, żyjącego w latach 460-370 pne.





PARTNERZY
alter edukacja
Test IQ
oferty pracy nauczyciel
Piatnik
spinor's


©2004 made and hosted by mediacom