SM78 Zainspiruj się nauką PWN
SM78 Ogólnopolska Matematyczna Konferencja Studentów OMatKo 2025
SM_77 Dolnośląski Festiwal Nauki 2025
SM76_18 lat Świata Matematyki
SM74_PWN SYSTEM





empik
KPM_01
paypal

przeszukaj serwisSZUKAJ W SERWISIE


Konkurs na DOWÓD


     

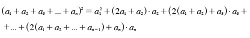
Sprawdź, czy prawdziwy jest następujący wzór:

Uczestnicy, którzy przyślą prawidłowe rozwiązania, otrzymają ciekawe, wartościowe i niesamowite nagrody.
Rozwiązania konkursu prosimy przekazać do 15 października 2016 r.
Rozwiązanie zadania prosimy przesyłać na adres biuro@swiatmatematyki.pl, pisząc w tytule maila „konkurs SM39”
lub pocztą do redakcji „Świat Matematyki”, ul. Oleśnicka 15b, 50-320 Wrocław.





PARTNERZY
alter edukacja
Test IQ
oferty pracy nauczyciel
Piatnik
spinor's


©2004 made and hosted by mediacom