SM78 Zainspiruj się nauką PWN
SM78 Ogólnopolska Matematyczna Konferencja Studentów OMatKo 2025
SM_77 Dolnośląski Festiwal Nauki 2025
SM76_18 lat Świata Matematyki
SM74_PWN SYSTEM





empik
KPM_01
paypal

przeszukaj serwisSZUKAJ W SERWISIE

 

CAŁKOWITY KONKURS


Tym razem proponujemy zadanie, w którym jest mowa o całkowitych wartościach wyrażeń. W rozwiązaniu może być pomocny artykuł Część całkowita z aktualnego (38.) numeru Świata Matematyki.

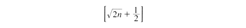
Wykaż, że w-ty wyraz ciągu 1, 2, 2, 3, 3, 3, 4, 4, 4, 4, 5, 5, 5, 5, 5, ...jest równy

Zapraszamy do rozwiązania zadania konkursowego. Uczestnicy, którzy przyślą prawidłowe odpowiedzi, otrzymają ciekawe, wartościowe i niesamowite nagrody.


Przedłużamy czas nadsyłania rozwiązania zadania konkursu 
do 15 sierpnia 2016 r.


Rozwiązanie zadania prosimy przesyłać na adres biuro@swiatmatematyki.pl
pisząc w tytule maiła „konkurs SM38" lub pocztą do redakcji „Świat Matematyki", 
ul. Oleśnicka 15b, 50-320 Wrocław.





PARTNERZY
alter edukacja
Test IQ
oferty pracy nauczyciel
Piatnik
spinor's


©2004 made and hosted by mediacom