SM78 Zainspiruj się nauką PWN
SM78 Ogólnopolska Matematyczna Konferencja Studentów OMatKo 2025
SM_77 Dolnośląski Festiwal Nauki 2025
SM76_18 lat Świata Matematyki
SM74_PWN SYSTEM





empik
KPM_01
paypal

przeszukaj serwisSZUKAJ W SERWISIE

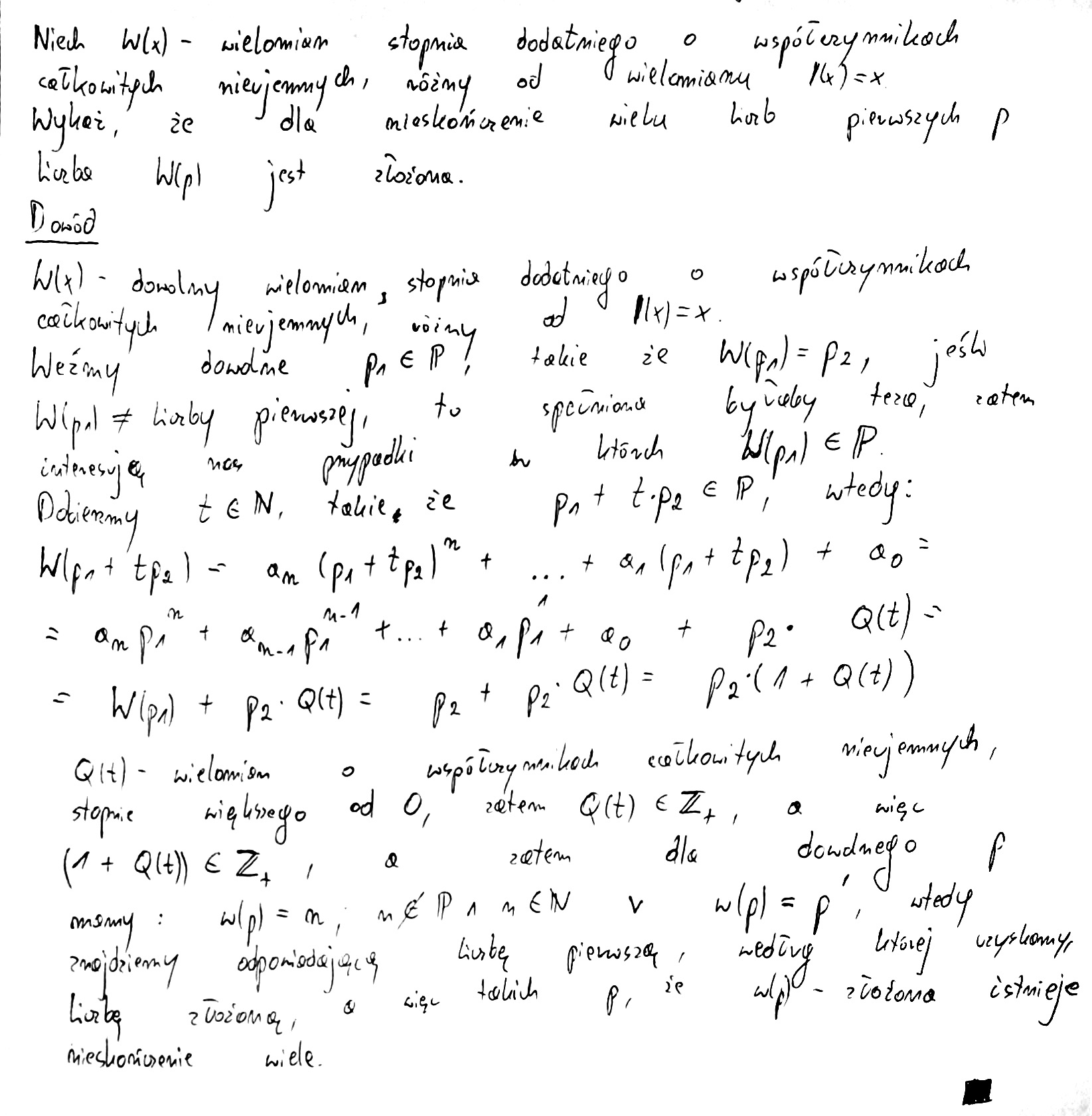
Niech W(x) będzie wielomianem stopnia dodatniego o współczynnikach całkowitych nieujemnych, różnym od wielomianu I(x) = x. Wykaż, że dla nieskończenie wielu liczb pierwszych p liczba W(p) jest złożona.

Wśród uczestników, którzy przyślą prawidłowe rozwiązania (bez pomocy np. komputera), zostaną rozlosowane ciekawe, wartościowe i niesamowite GRY lub KSIĄŻKI.
Pełne rozwiązanie zadania konkursowego prosimy przekazać do 3 stycznia 2021 r. Można je przesyłać na adres: biuro@swiatmatematyki.pl, z tytułem maila „konkurs SM60”, lub pocztą na adres redakcji: „Świat Matematyki”, ul. Oleśnicka 15b, 50-320 Wrocław.

* * *

Dziękujemy za przesłanie rozwiązania konkursu, który ukazał się w 60. wydaniu Świata Matematyki. Jako jedyny przesłał je pan Wojciech S. Zapraszamy wszystkich do uczestnictwa w przyszłych konkursach.

Rozwiązanie zadania "Poszukiwania złożonych" - Wojciech S.





PARTNERZY
alter edukacja
Test IQ
oferty pracy nauczyciel
Piatnik
spinor's


©2004 made and hosted by mediacom